Find A Provider
Member Portal
Provider Portal
Corporate Site
Make A Payment
Members
Plan Documents
Member Resources
Transparency In Coverage
Benefits & Services
Telemedicine
Women’s Health
Health & Wellness Programs
Asthma Matters
Diabetes in Control
Financial Wellness
Healthier You!
Healthy Expectations
Healthy Heart
Healthy Living
Healthy Mind
Scholarships
Your Health
Fight The Flu
Annual Wellness Checks
Member Health Tips
Make A Payment
Providers
Letter of Interest
Provider Educational Sessions
Provider Resources
Provider Relations Directory
Provider Quick Reference Guide
News & Events
Community First Blog
Member News
Provider News
Member Newsletters
Events
About Us
Contact
Make A Payment
Members
Plan Documents
Member Resources
Transparency In Coverage
Benefits & Services
Telemedicine
Women’s Health
Health & Wellness Programs
Asthma Matters
Diabetes in Control
Financial Wellness
Healthier You!
Healthy Expectations
Healthy Heart
Healthy Living
Healthy Mind
Scholarships
Your Health
Fight The Flu
Annual Wellness Checks
Member Health Tips
Make A Payment
Providers
Letter of Interest
Provider Educational Sessions
Provider Resources
Provider Relations Directory
Provider Quick Reference Guide
News & Events
Community First Blog
Member News
Provider News
Member Newsletters
Events
About Us
Contact
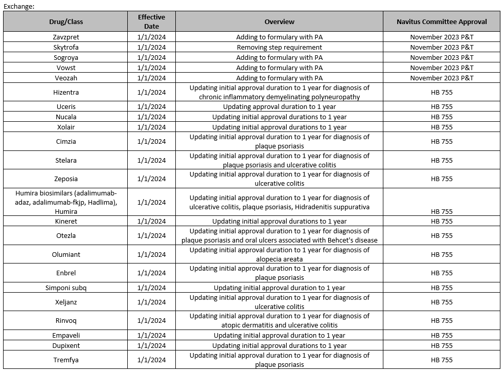
SB 1742 and HB 722 Updates for January 2024
Jul 26, 2024
|
HIE Providers
,
HMO Providers
Search for:
Recent Posts
A Party (and a Health Plan) With a Purpose
Community First Provider Satisfaction Survey
Mental Health Resource for Families – NAMI Basics
Reminder: SafeRide Health Provides Transportation Services for Community First Medicaid and Medicare Members
STAC Asthma Action Plan Available: Guidance for Health Care Providers
Recent Comments
Home
Member Portal
Make A Payment
Recent Comments